可以通过双曲线方程的标准方程来判断。
如果标准方程为x^2/(a^2)-y^2/(b^2)=1,那么焦点在x轴上;如果标准方程为y^2/(a^2)-x^2/(b^2)=1,那么焦点在y轴上。

拓展资料:
我们把平面内与两个定点F1,F2的距离的差的绝对值等于一个常数(常数为2a,小于|F1F2|)的轨迹称为双曲线;平面内到两定点的距离差的绝对值为定长的点的轨迹叫做双曲线 [2] )
即:│|PF1|-|PF2│|=2a
定义1:

平面内,到两个定点的距离之差的绝对值为常数(小于这两个定点间的距离 [2] )的点的轨迹称为双曲线。定点叫双曲线的焦点。
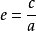
定义2:平面内,到给定一点及一直线的距离之比为常数e(
(e>1),即为双曲线的离心率)的点的轨迹称为双曲线。定点叫双曲线的焦点,定直线叫双曲线的准线。双曲线准线的方程为
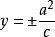
(焦点在x轴上)或

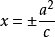
(焦点在y轴上)。
定义3:一平面截一圆锥面,当截面与圆锥面的母线不平行也不通过圆锥面顶点,且与圆锥面的两个圆锥都相交时,交线称为双曲线。
定义4:在平面直角坐标系中,二元二次方程F(x,y)=ax2+bxy+cy2+dx+ey+f=0满足以下条件时,其图像为双曲线
参考资料:百度百科,双曲线
