液体压强压强公式为:P=ρgh。只要把水的密度代入就可以算出压强。
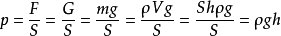
液体压强的公式为:

固体压强也可用P=ρgh计算,但只参考密度均匀的几何直柱体,其上下底面积相等。
其表达式可以转化为:

扩展资料:
影响因素
由于液体具有流动性,它所产生的压强具有如下几个特点:
(1)液体除了对容器底部产生压强外,还对“限制”它流动的侧壁产生压强。固体则只对其支承面产生压强,方向总是与支承面垂直。
(2)在液体内部向各个方向都有压强,在同一深度向各个方向的压强都相等。同种液体,深度越深,压强越大。
(3)计算液体压强的公式是p=ρgh。可见,液体压强的大小只取决于液体的种类(即密度ρ)和深度h,而和液体的质量、体积没有直接的关系。
(4)密闭容器内的液体能把它受到的压强按原来的大小向各个方向传递。与重力无关。
参考资料:百度百科-液体压强
