梯形的周长公式:上底+下底+腰+腰,用字母表示: 
梯形(trapezium)是指只有一组对边平行的四边形。平行的两边叫做梯形的底边,较长的一条底边叫下底,较短的一条底边叫上底。另外两边叫腰;夹在两底之间的垂线段叫梯形的高。一腰垂直于底的梯形叫直角梯形。两腰相等的梯形叫等腰梯形(isosceles trapezium)。等腰梯形是一种特殊的梯形,其判定方法与等腰三角形判定方法类似。
周长
梯形的周长公式:上底+下底+腰+腰,用字母表示:

等腰梯形的周长公式:上底+下底+2腰,用字母表示:a+c+2b。
面积
①梯形的面积公式:(上底+下底)×高÷2, 用字母表示:

变形:h=2S÷(a+c);变形2:a=2s÷h-c;变形3:c=2s÷h-a。

②梯形的面积公式: 中位线×高,用字母表示:L·h。
③对角线互相垂直的梯形面积为:对角线×对角线÷2。
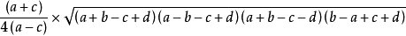
④只知四边长度时的面积公式:

