查标准正态分布表,当α=0.05时,区间估计,两侧分别是0.025,查标准正态分布表时找到0.975,对应的Z值就是1.96。

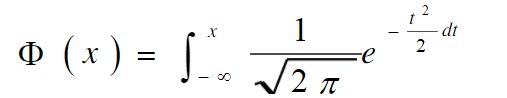
标准正态曲线:当μ=0、σ=l时,正态总体称为标准正态总体,其相应的函数表示式 是

其相应的曲线称为标准正态曲线,标准正态总体N(0,1)在正态总体的研究中占有重要的地位,任何正态分布的概率问题均可转化成标准正态分布的概率问题。
扩展资料
总体密度曲线:样本容量越大,所分组数越多,各组的频率就越接近于总体在相应各组取值的概率.设想样本容量无限增大,分组的组距无限缩小,那么频率分布直方图就会无限接近于一条光滑曲线,这条曲线叫做总体密度曲线。

反映了总体在各个范围内取值的概率.根据这条曲线,可求出总体在区间(a,b)内取值的概率等于总体密度曲线,直线x=a,x =b 及x轴所围图形的面积. 观察总体密度曲线的形状,它具有“两头低,中间高,左右对称”的特征,具有这种特征的总体密度曲线一般可用下面函数的图象来表示或近似表示:

参考资料:百度百科-正态分布
参考资料:百度百科-标准正态分布
