
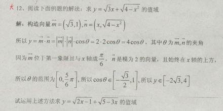
Green Storm 网络 翠绿风暴; 绿色风暴; [例句]The Reed marshes Are Like A Green Storm绿色风暴&芦苇荡进行更多翻译“格林斯通”是由“Greenstorm”音译过来的,意喻为“绿色风暴”。时至今日,“格林斯通Greenstorm”赋予了她丰富的内涵:它代表着公司全体员工的热情,就像风暴一样storm 英[stɔ:m] 美[stɔ:rm] n. 暴风雨,暴风雪; [军] 猛攻,冲击; 骚乱; 动荡; vi. 起风暴,下暴雨; 猛冲; 暴怒; vt. 袭击,猛攻; 暴怒,怒骂; 大力迅速攻占; [例句]The photos caused a storm when they were first published.照片最初刊登出来时曾引起了一片公愤。[其他] 第三人称单数:storms 复数:storms 现在分词:storming过去式:stormed 过去分词:stormed 双语例句 柯林斯词典 英英释义 百度百科相关单词:STORM abbr. Storm-Scale Operational and Research Meteorology [program] 风暴尺度业务和研究气象学[计划]Storm [词典] [人名] [英格兰人姓氏]斯托姆绰号,性情狂暴者,来源于古英语,含义是“暴风雨”(storm)
