整式为单项式和多项式的统称,是有理式的一部分,在有理式中可以包含加,减,乘,除、乘方五种运算,但在整式中除数不能含有字母。
单项式与多项式统称为整式。
例题(如图):

扩展资料
易错混点:
1、单项式的系数包括前面的符号,如:-a的系数是-1;
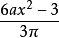
2、单项式是由数字因数和字母因数组成的,单项式不含加减运算,含有除法运算时,分母不含字母,分子不含加减运算,(如图)就不是单项式:
(下图)也不是单项式,因为它们都含加减运算(但第二题也不是分式,因为”派“是一个数,所以它是多项式)

3、单项式的次数与多项式的次数是不同概念,要注意区分;
4、系数是1或-1时,省略1不写;指数是1时,1也省略不写,在这两个知识点上容易出现错误。
参考资料来源:百度百科-整式
