http://bt.neu6.edu.cn/
教育网才可以登上去。
六维空间 是指任何拥有六个维度的空间,六自由度,并且需要六个数据或坐标来指定该空间中的位置。这些座标可以有无限多种 但最有趣的是更简单的模型的一些方面的环境。 其中最有趣的是六维欧几里得空间, 在其之中可构造出六维多胞形以及五维球面。 六维有限空间 以及 双曲空间同时也被研究,具有恒定的正和负曲率。

六维球面
六维球面,或是七维空间的超球体, 是一个从六维曲面到中心点皆等距的超球体。它的符号为S,而关于六维球面的方程式,设半径为r,其超球心为

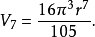
而这个六维球面在七维空间的体积是

也就是4.74277 ×r,而一个七维超立方体中最大的内接七维超球大约等同于该七维超立方体的0.0369倍。

