椭圆周长计算公式:L=T(r+R)
T为椭圆系数,可以由r/R的值,查表找出系数T值;r为椭圆短半径;R为椭圆长半径。
椭圆周长定理:椭圆的周长等于该椭圆短半径与长半径之和与该椭圆系数的积(包括正圆)。
建立椭圆参数方程:
x=a SINθ
Y=bcosθ
根据曲线长度积分方程:u=y′;
将椭圆方程代入上式得:
(1) L=4a
而 
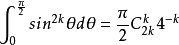
得出将(1)式用牛顿二项式定理展开再逐项积分得
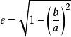
求解完毕(这个公式把a=b带进去以后为圆周长公式,e=1时,L=
a)
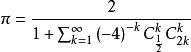
由此我们可以得到圆周率的另一个公式了:

扩展资料:
椭圆(Ellipse)是平面内到定点F1、F2的距离之和等于常数(大于|F1F2|)的动点P的轨迹,F1、F2称为椭圆的两个焦点。其数学表达式为:|PF1|+|PF2|=2a(2a>|F1F2|)。
椭圆是圆锥曲线的一种,即圆锥与平面的截线。
椭圆的周长等于特定的正弦曲线在一个周期内的长度。
根据椭圆的一条重要性质:椭圆上的点与椭圆长轴(事实上只要是直径都可以)两端点连线的斜率之积是定值,定值为
(前提是长轴平行于x轴。若长轴平行于y轴,比如焦点在y轴上的椭圆,可以得到斜率之积为 -a²/b²=1/(e²-1)),可以得出:
在坐标轴内,动点(
)到两定点(
)(
)的斜率乘积等于常数m(-1<m<0)。
注意:考虑到斜率不存在时不满足乘积为常数,所以
无法取到,即该定义仅为去掉四个点的椭圆。
椭圆也可看做圆按一定方向作压缩或拉伸一定比例所得图形。
参考资料:百度百科——椭圆周长
