百问三三

  • 网站首页
  • 百科知识
  • 百科问答
  • 生活百科
位置:首页> 百科问答>

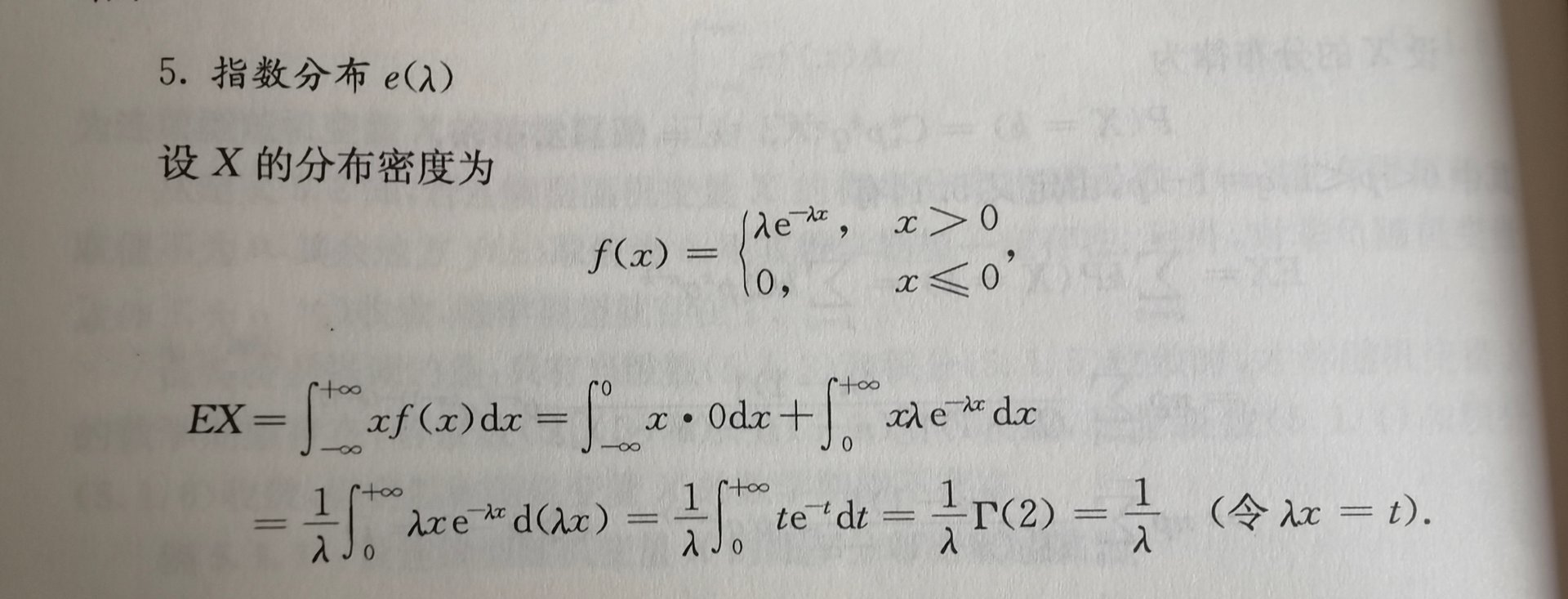
指数分布的方差是什么?

时间:2026-03-19 01:44:00 浏览:845次

简单计算一下即可,答案如图所示

指数分布的方差是什么?

指数分布的方差是什么?

指数分布的方差是什么?

标签:指数分布,方差

相关文章

指数分布的无记忆性是什么?

指数分布的无记忆性是什么?

指数分布的期望是什么?

指数分布的期望是什么?

指数分布的期望和方差

指数分布的期望和方差

  • 1 指数分布的无记忆性是什么意思? 864 阅读
  • 2 方差的意义 907 阅读
  • 3 方差公式是什么 856 阅读
  • 4 指数分布的期望是什么? 933 阅读
  • 5 方差的意义是什么呀? 881 阅读

热门文章

  • 前朝重臣王辅臣被乾隆列入逆臣传,他究竟犯了什么大错?

    前朝重臣王辅臣被乾隆列入逆臣传,他究竟犯了什么大错?

    12-18 51603次
  • 张德芬萧天润是她第一任丈夫吗

    张德芬萧天润是她第一任丈夫吗

    12-14 47492次
  • 美团客服电话人工服务24小时

    美团客服电话人工服务24小时

    12-05 46219次
  • WOW大块头齐奇在哪

    WOW大块头齐奇在哪

    12-16 45288次
  • 理论上人类百米的极限是多少

    理论上人类百米的极限是多少

    11-22 44103次
  • 举重比赛中,最重的杠铃片是什么颜色

    举重比赛中,最重的杠铃片是什么颜色

    11-28 43061次

推荐文章

cereal怎么读

cereal怎么读

熊冬眠吗?

熊冬眠吗?

三星电视伴音模式作用

三星电视伴音模式作用

张学友的《情已逝》 歌词

张学友的《情已逝》 歌词

生死记忆:周镐与谷彦生的故事的真相后续曝光

生死记忆:周镐与谷彦生的故事的真相后续曝光

阿福卡是什么玩意?

阿福卡是什么玩意?

什么叫压轴

什么叫压轴

历虫上中国最大的台风死亡多少人

历虫上中国最大的台风死亡多少人

不能说的秘密到底有续集吗?

不能说的秘密到底有续集吗?

马和驴交配以后产下的后代是什么品种的动物?

马和驴交配以后产下的后代是什么品种的动物?

生活难题不懂就问!百问三三生活百科知识问答平台,汇集家居、厨房、常识等海量知识,通俗易懂的解答 + 干货技巧,帮你搞定生活大小事,赶紧收藏!

CopyRight © 2025 网站地图 - 闽ICP备2022016962号-17 - 联系邮箱:1465333496@qq.com