数学分析中x上边加一横:表示X的平均值。
平均数是指在一组数据中所有数据之和再除以这组数据的个数,是表示一组数据集中趋势的量数。它是反映数据集中趋势的一项指标。
解答平均数应用题的关键在于确定“总数量”以及和总数量对应的总份数。在统计工作中,平均数(均值)和标准差是描述数据资料集中趋势和离散程度的两个最重要的测度值。
扩展资料:
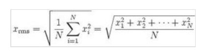
有算术平均值,几何平均值,平方平均值(均方根平均值,rms),调和平均值,加权平均值等
其中以算术平均值最为常见,计算方法为:

几何平均值的计算方法为:

值得注意的是,几何平均值是相对于正数而言的,也就是说上面的X1,X2,..Xn必须是正数
俄语名称:Среднее значение 或者 Среднее значение за период
均方根平均值计算方法为

调和平均值计算方法为 N/(1/x1+1/x2+...+1/xn)
加权平均值算法为

参考资料:百度百科-平均值
