sin30度等于二分之一。
在直角三角形中,∠α(不是直角)的对边与斜边的比叫做∠α的正弦,记作sinα,即sinα=∠α的对边/∠α的斜边 。sinα在拉丁文中记做sinus。
在古代的说法当中,正弦是勾与弦的比例。 古代说的“勾三股四弦五”中的“弦”,就是直角三角形中的斜边。 股就是人的大腿,古人称直角三角形中长的那个直角边为“股”。
正弦是∠α(非直角)的对边与斜边的比,余弦是∠α(非直角)的邻边与斜边的比。
勾股弦放到圆里。弦是圆周上两点连线。最大的弦是直径。 把直角三角形的弦放在直径上,股就是长的弦,即正弦,而勾就是短的弦,即余弦。
按现代说法,正弦是直角三角形某个角(非直角)的对边与斜边之比,即:对边/斜边。

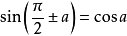
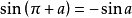
公式
两角和差公式

诱导公式





二倍角公式

参考资料来源:百度百科—sin
