物体所占的平面图形的大小,叫做它们的面积。面积就是所占平面图形的大小,平方米,平方分米,平方厘米,是公认的面积单位,用字母可以表示为(m²,dm²,cm²)。常见的矩形面积计算公式为长×宽。

计算方法如下:
长方形(矩形):
{长方形面积=长×宽}
正方形:
{正方形面积=边长×边长}
平行四边形:
{平行四边形面积=底×高}
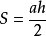
三角形:
{三角形面积=底×高÷2}
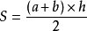
梯形:
{梯形面积=(上底+下底)×高÷2}
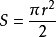
圆形(正圆):
{圆形(正圆)面积=圆周率×半径×半径}
圆环:
{圆形(外环)面积={圆周率×(外环半径^2-内环半径^2)}
扇形:
{圆形(扇形)面积=圆周率×半径×半径×扇形角度/360}
长方体表面积:
{长方体表面积=(长×宽+长×高+宽×高)×2}
正方体表面积:
{正方体表面积=棱长×棱长×6}
球体(正球)表面积:
{球体(正球)表面积=圆周率×半径×半径×4}
椭圆
(其中π(圆周率,a,b分别是椭圆的长半轴,短半轴的长)。
半圆:
(半圆形的面积公式=圆周率×半径的平方÷2)
扩展资料:
面积是表示平面中二维图形或形状或平面层的程度的数量。表面积是三维物体的二维表面上的模拟物。面积可以理解为具有给定厚度的材料的量,面积是形成形状的模型所必需的,或者用单一涂层覆盖表面所需的涂料量。它是曲线长度(一维概念)或实体体积(三维概念)的二维模拟。
可以通过将固定尺寸的形状与正方形进行比较来测量形状的面积。在国际单位制(SI)中,标准单位面积为平方米(平方米),面积为一米长的正方形面积面积为三平方米的形状将与三个这样的广场相同。在数学中,单位正方形被定义为具有区域,任何其他形状或表面的面积都是无量纲实数。
有几种众所周知的简单形状的公式,如三角形,矩形和圆形。使用这些公式,可以通过将多边形分成三角形来找到任何多边形的面积。
参考资料:百度百科—面积
