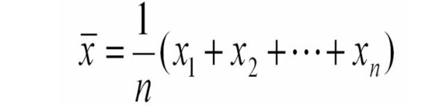
若n个数
的权分别是
,那么
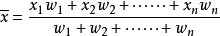
叫做这n个数的加权平均值。加权平均值即将各数值乘以相应的权数,然后加总求和得到总体值,再除以总的单位数。
加权平均值的大小不仅取决于总体中各单位的数值(变量值)的大小,而且取决于各数值出现的次数(频数),由于各数值出现的次数对其在平均数中的影响起着权衡轻重的作用,因此叫做权数。

扩展资料
1、加权平均值即将各数值乘以相应的权数,然后加总求和得到总体值,再除以总的单位数。加权平均值的大小不仅取决于总体中各单位的数值(变量值)的大小,
而且取决于各数值出现的次数(频数),由于各数值出现的次数对其在平均数中的影响起着权衡轻重的作用,因此叫做权数。因为加权平均值是根据权数的不同进行的平均数的计算,所以又叫加权平均数。
2、平均数是统计学中最常用的统计量,用来表明资料中各观测值相对集中较多的中心位置。在畜牧业、水产业生产实践和科学研究中,平均数被广泛用来描述或比较各种技术措施的效果、畜禽某些数量性状的指标等等。
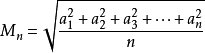
3、平方平均数
平方平均数是n个数据的平方的算术平均数的算术平方根。
公式:

参考资料来源:百度百科_ 加权平均值
