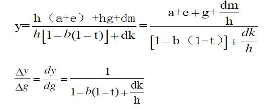
一、财政政策乘数考察的是某项财政政策手段或政策工具的应用对收入的影响,即实际货币供给量不变的前提下,单位政府收支的变化带来的国民收入的变化。以3部门为例:


结论:
1、由于利率变动对国民收入具有挤出效应,所以财政政策乘数的效果一般要小于政府支出乘数。
2、式子中b为边际消费倾向,t为税率,d为投资对利率的敏感程度,k是交易需求占收入的比重,h为货币投机需求对利率的反应系数 若其他因素不发生变化,则

H越小——dk/h则越大——dy/dg则越小——财政政策效果小
另外H越大——LM曲线越平缓——挤出效应小——财政政策效果大
3、若其他因素不发生变化,则D越大——dy/dg则越小——财政政策效果小
D越小——dy/dg则越大——财政政策效果大
另外d越大——IS曲线越平缓——挤出效应大——财政政策效果小
4、 只有当一项扩张(紧缩)财政政策不会使利率上升(下降)的很多,它才会对AD产生很大的调整作用(财政政策效果明显)。在LM曲线为水平状态下,财政政策乘数等于政府支出乘数(挤出效应为0)
二、货币政策乘数是指当产品市场达到均衡的时候(IS曲线不变),实际货币供给量使均衡收入变动的比率:


扩展资料
一、财政政策
(一)功能盈余
1、根据权衡性财政政策,政府在财政方面的积极政策主要是为了实现无通货膨胀的充分就业水平。当实现这一目标时,预算可以是盈余,也可以是赤字,这样的财政为功能财政。
2、预算赤字是政府财政支出大于收入的差额。实行扩张型财政政策,即减税和扩大政府支出就会造成预算赤字。预算盈余是政府收入超过支出的余额。实行紧缩性财政政策,即增税和减少政府支出,会产生预算盈余。
3、年度平衡预算,要求每个财政年度的收支平衡。这是20世纪30年代大危机以前普遍采取的政策原则。后来这个原则遭到了凯恩斯主义者的攻击。他们认为,衰退时,税收必然会随收入的减少而减少。
4、如果坚持年度平衡预算的观点,那么为了减少赤字,只有减少政府支出或者提高税率,其结果会加深衰退;当经济过热,出现通货膨胀时,税收必然会随收入的增加而增加,为了减少盈余,只有增加政府支出或者降低税率,其结果反而会加剧通货膨胀。
5、这样,坚持年度平衡预算只会使经济波动更加严重。
(二)盈余方向
1、所谓充分就业预算盈余是指既定的政府在充分就业的国民收入水平即潜在的国民收入水平上所产生的政府预算盈余。如果这种盈余为负值,就是充分就业的预算赤字。
2、它不同于实际的预算盈余,实际的预算盈余是以实际的国民收入水平来衡量预算状况的,因此二者的差别就在于充分就业的国民收入与实际的国民收入水平的差额。
3、一般来讲,当实际国民收入水平高于充分就业国民收入水平时,则充分就业预算盈余小于实际预算盈余;若实际国民收入水平低于充分就业的国民收入水平,则充分就业预算盈余大于实际预算盈余。
4、当然,也会出现实际国民收入和潜在的国民收入相等,因而充分就业预算盈余与实际预算盈余相等的情况。
二、货币政策
(一)稳定物价与经济增长
(二)稳定物价与促进经济增长之间是否存在着矛盾,理论界对此看法不一,主要有以下几种观点:
1、物价稳定才能维持经济增长。
1.1、这种观点认为,只有物价稳定,才能维持经济的长期增长势头。
1.2、一般而言,劳动力增加,资本形成并增加,加上技术进步等因素促进生产的发展和产量的增加,随之而来的是货币总支出的增加。由于生产率是随时间的进程而不断发展的,货币工资和实际工资也是随生产率而增加的。
1.3、只要物价稳定,整个经济就能正常运转,维持其长期增长的势头。这实际上从供给决定论的古典学派经济思想在现代经济中的反映。
2、轻微物价上涨刺激经济增长。
2.1、这种观点认为,只有轻微的物价上涨,才能维持经济的长期稳定与发展。因为,通货膨胀是经济的刺激剂。
2.2、这是凯恩斯学派的观点,凯恩斯学派认为,在充分就业没有达到之前增加货币供应,增加社会总需求主要是促进生产发展和经济增长,而物价上涨比较缓慢。
2.3、并认定资本主义经济只能在非充分就业的均衡中运行,因此轻微的物价上涨会促进整个经济的发展。
2.3、美国的凯恩斯学者也认为:价格的上涨,通常可以带来高度的就业,在轻微的通货膨胀之中,工业之轮开始得到良好的润滑油,产量接近于最高水平,私人投资活跃,就业机会增多。
3、经济增长能使物价稳定。
3.1、这种观点则认为,随着经济的增长,价格应趋于下降,或趋于稳定。
3.2、因为,经济的增长主要取决于劳动生产率的提高和新生产要素的投入,在劳动生产率提高的前提下,生产的增长,一方面意味着产品的增加,另一方面则意味着单位产品生产成本的降低。所以,稳定物价目标与经济增长目标并不矛盾。
3.3、这种观点实际上是马克思在100 多年以前,分析金本位制度下资本主义经济的情况时所论述的观点。
参考资料来源:百度百科-货币政策
百度百科-财政政策
