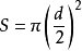
圆面积计算公式: 1、
2、
圆的半径:r
直径:d
圆周率:π(数值为3.1415926至3.1415927之间……无限不循环小数),通常采用3.14作为π的数值
把圆平均分成若干份,可以拼成一个近似的长方形。长方形的宽就等于圆的半径(r),长方形的长就是圆周长(C)的一半。长方形的面积是ab,那圆的面积就是:圆的半径(r)乘以二分之一周长C,S=r*C/2=r*πr。

扩展资料:
半圆的面积:S半圆=(πr2)÷2
圆环面积: S大圆-S小圆=π(R2-r2)(R为大圆半径,r为小圆半径)
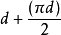
圆的周长:
或 
半圆的周长:
或者 
参考资料:百度百科-圆面积公式
