平均平动动能:分子运动(非转动),就具有平动动能。不同的分子,平动动能不同。所有分子的平动动能的平均值就是它们的平均平动动能。
平均转动动能:平均动能是平均转动动能与平均平动动能之和。
平均总动能:平均平动能+平均转动能+平均振动能=平均总动能。
轨道动能:轨道动能就是分子在轨道上运动的动能。

扩展资料:
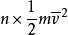
微观上主要影响分子动能的因素为有物体内部分子的数量,种类,运动速度;分别在宏观上对应物体的质量,种类,温度。据公式

=

(n为分子数量;m为单个分子质量;

为分子运动速度)当物体的分子数量增加时,总动能便增加,其宏观上体现在,物质质量的增加;同理当单个分子质量变化时,分子动能也会变化,并与其成正比,在宏观上的体现就是物质种类的变化;当平均分子运动速度变化时,分子动能成平方倍变化,宏观上的温度就会随之变化。
参考资料来源:百度百科-分子动能
