圆锥体积公式:
。
一个圆锥所占空间的大小,叫做这个圆锥的体积。
一个圆锥的体积等于与它等底等高的圆柱的体积的1/3。
根据圆柱体积公式(V=Sh=πr^2*h),得出圆锥体积公式:
其中,S是底面积,h是高,r是底面半径。

体积公式证明
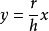
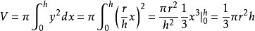
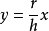
圆锥体可以看作高为h,底为r的直角三角形绕高为h的边旋转的,为此,建立直角坐标系下的三角形关系,斜边的方程为
,圆锥体是由直线
,
与x轴所围的三角形绕x旋转一周所得的旋转体,其体积为:
。
计算公式
圆锥的侧面积=母线的平方×π×(360分之扇形的度数)
圆锥的侧面积=1/2×母线长×底面周长
圆锥的侧面积=π×底面圆的半径×母线
圆锥的表面积=底面积+侧面积 S=πr²+πrl (注l=母线)
圆锥的体积=1/3底面积乘高 或 1/3πr^2*h
参考资料:
百度百科—圆锥体
