1、同分母分数相加减,分母不变,即分数单位不变,分子相加减,能约分的要约分。
例:


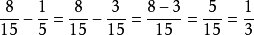
2、异分母分数相加减,先通分,即运用分数的基本性质将异分母分数转化为同分母分数,改变其分数单位而大小不变,再按同分母分数相加减法去计算,最后能约分的要约分。
例:


分数表示一个数是另一个数的几分之几,或一个事件与所有事件的比例。把单位“1”平均分成若干份,表示这样的一份或几份的数叫分数。

小学阶段与小学阶段以后的分数定义有所不同,小学阶段7/7、12/6等都姑且视为分数。但实际上,只有不等于整数的有理数才是分数,所以7/7、12/6等都不是分数。
把单位“1”平均分成若干份,表示这样的一份或几份的数叫做真分数如:3/8或2/5,也可能成为假分数,也就是分子大于或者等于分母,例如8/3。分母表示把一个物体平均分成几份,分子表示取了其中的几份。
分子在上,分母在下,也可以把它当做除法来看,用分子除以分母(因0在除法不能做除数,所以分母不能为0),相反除法也可以改为用分数表示。
参考资料:百度百科——分数
