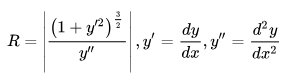
在空间曲线的情况下,曲率半径是曲率向量的长度。在平面曲线的情况下,则R要取绝对值。

其中s是曲线上固定点的弧长,α是切向角,K是曲率。
如果曲线以笛卡尔坐标表示为y(x) ,则曲率半径为(假设曲线可微分):

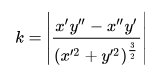
如果曲线由函数x(t)和y(t)参数给出,则曲率为:

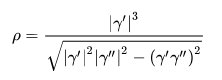
如果:

中的参数曲线,则曲线各点处的曲率半径

由下式给出:

具体应用
(1)对于差分几何上的应用,请参阅Cesàro方程;
(2)对于地球的曲率半径(由椭圆椭圆近似),请参见地球的曲率半径;
(3)曲率半径也用于梁的弯曲三部分方程中;
(4)曲率半径(光学)。
(5)半导体结构中的应力:
涉及蒸发薄膜的半导体结构中的应力通常来自制造过程中的热膨胀(热应力)。发生热应力是因为膜沉积通常在室温以上。在从沉积温度冷却至室温时,基板和膜的热膨胀系数的差异引起热应力。
