根号5约等于2.236
计算步骤:5^(2) =2.236
平方根与算数平方根的区别是:平方根可以是正的,也可以是负的,还可以是0,但是算术平方根一定是非负的。
根号是用来表示对一个数或一个代数式进行开方运算的符号。在日常使用中,将2次开方运算直接读作根号某值。因此根号9即对9做2次开方

扩展资料:
根号计算公式:
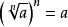
成立条件:a≥0,n≥2且n∈N。
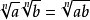
成立条件:a≥0, b≥0, n≥2且n∈N。
成立条件:a≥0,b>0,n≥2且n∈N。
成立条件:a≥0,b>0,n≥2且n∈N。
根号5约等于2.236
计算步骤:5^(2) =2.236
平方根与算数平方根的区别是:平方根可以是正的,也可以是负的,还可以是0,但是算术平方根一定是非负的。
根号是用来表示对一个数或一个代数式进行开方运算的符号。在日常使用中,将2次开方运算直接读作根号某值。因此根号9即对9做2次开方

扩展资料:
根号计算公式:
成立条件:a≥0,n≥2且n∈N。
成立条件:a≥0, b≥0, n≥2且n∈N。
成立条件:a≥0,b>0,n≥2且n∈N。
成立条件:a≥0,b>0,n≥2且n∈N。