算术平均数( arithmetic mean),又称均值,是统计学中最基本、最常用的一种平均指标,分为简单算术平均数、加权算术平均数。它主要适用于数值型数据,不适用于品质数据。根据表现形式的不同,算术平均数有不同的计算形式和计算公式。
算术平均数是加权平均数的一种特殊形式(特殊在各项的权重相等)。在实际问题中,当各项权重不相等时,计算平均数时就要采用加权平均数;当各项权相等时,计算平均数就要采用算术平均数。
扩展资料:
一、特点
1、算术平均数是一个良好的集中量数,具有反应灵敏、确定严密、简明易解、计算简单、适合进一步演算和较小受抽样变化的影响等优点。
2、算术平均数易受极端数据的影响,这是因为平均数反应灵敏,每个数据的或大或小的变化都会影响到最终结果。
二、分类
1、简单算术平均
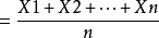
(1)适用:主要用于未分组的原始数据。设一组数据为X1,X2,...,Xn,简单的算术平均数的计算公式为:

(2)例:某销售小组有5名销售员,元旦一天的销售额分别为520元、600元、480元、750元和500元,求该日平均销售额。
平均销售额=(520+600+480+750+500) / 5=570(元)
计算结果表明,元旦一天5名销售员的平均营业额为570元。
(3)拓展:一组数据x1.x2.x3 围绕数a上下波动,为了求得算术平均.
首先,要将每个原数据分别减a,得到一组新数据记为x1' x2' .....xn'
X1'=X1-a X2'=X2-a ..... Xn'=Xn-a
即:X1=X1'+a X2=X2'+a .....Xn=Xn'+a
然后,计算平均数
己为式 (1)
将
,
,....,..
代入式 (1)
得到:

即算术平均数=
+ a
所以:
=
+ a
2、加权算术平均
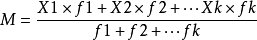
适用:主要用于处理经分组整理的数据。设原始数据为被分成K组,各组的组中的值为X1,X2,...,Xk,各组的频数分别为f1,f2,...,fk,加权算术平均数的计算公式为:

参考资料来源:百度百科-算数平均数
