NaHCO3在化学中表示碳酸氢钠,即小苏打。
化学性质:
1、稳定性:碳酸氢盐热稳定性差,受热易分解。反应方程式为:

2、与酸反应:
以HCl为例

3、与碱反应:
以NaOH为例:

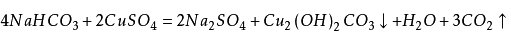
4、与盐反应:
以硫酸铜为例:

5、水解反应:
以铝离子为例:


碳酸氢钠的作用
1、碳酸氢钠由于呈弱碱性,可以直接用来制作成医用药品,制作的药品可以用来治疗胃酸过多。因为胃内分泌的溶液呈酸性,当遇到呈弱碱性的碳酸氢钠时发生中和作用。这样既可以有效治疗胃酸过多,分解后的碳酸钠也没有任何副作用,钠离子还是人体必须的一种离子。
2、碳酸氢钠可以用来制作膨松剂。在蒸馒头时要放入一些“碱”,碱内的主要物质即是碳酸氢钠。这是因为当面粉内放入碳酸氢钠后,经过高温发酵的过程中,碳酸氢钠分解,分解出来的二氧化碳和水会以气体的形式排出,在排出的过程中,馒头会变的蓬松起来。如果放入的碳酸氢钠过多的话,馒头会带有咸味。
3、碳酸氢钠是饮料中气体发生剂。当打开一瓶可乐时,瓶内会有大量的气泡产生,这是因为饮料内的碳素氢钠分解后产生的气体所致。
4、碳酸氢钠可以用来制作灭火剂。其灭火原理较为复杂,这个过程中既有化学作用也有物理作用。用碳酸氢钠制作的灭火剂效果良好,目前已被广泛用于各类防火措施中。
参考资料来源:百度百科-碳酸氢钠
