氯酸钾与二氧化锰反应的化学方程式:2KClO₃ =MnO₂ =2KCl + 3O₂ ↑
氯酸钾可与用二氧化锰做催化剂,在加热条件下反应生成氧气。由离子构成。氯酸钾绝不能用以与盐酸反应制备氯气,因为会形成易爆的二氧化氯,也根本不能得到纯净的氯气。
如有催化剂等存在,在较低温度下就能分解而强烈放出氧气。这里特别需要说明的是,氯酸钾分解放氧是放热反应。在酸性溶液中有强氧化作用。与碳、磷及有机物或可燃物混合受到撞击时,都易发生燃烧和爆炸。

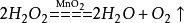
在氯酸钾[KClO₃]分解、双氧水(过氧化氢,H₂O₂)分解的反应中作催化剂:


化学方程式为:
MnCO₃+H₂SO₄=MnSO₄+H₂O+CO₂↑
2FeSO₄+MnO₂+2H₂SO₄=Fe₂(SO₄)₃+MnSO₄+2H₂O
Fe₂(SO4)₃+6H₂O=3H₂SO₄+2Fe(OH)₃↓
MnSO₄+2H₂O=电解=MnO₂↓+H₂SO₄+H₂↑
氯化锰法将菱锰矿与过量盐酸进行反应,生成氯化锰溶液,待反应完成后,加入石灰进行中和,控制Ph=4左右,加入氧化剂过氧化氢使Fe2+氧化生成氢氧化铁沉淀而除去,净化的氯化锰溶液加入硝酸锰配成电解液。
