圆周长的计算
1、圆周长=圆周率×直径,字母公式:C=πd。
2、圆周长= 圆周率×半径×2,字母公式:C=2πr。
围成圆的曲线的长就是圆的周长。圆周长的长短,取决于圆的直径(半径)。
圆周率是指圆周长和它直径的比值。
在一个平面内,一动点以一定点为中心,以一定长度为距离旋转一周所形成的封闭曲线叫做圆。圆有无数个点。
在同一平面内,到定点的距离等于定长的点的集合叫做圆。圆可以表示为集合{M||MO|=r},圆的标准方程是(x - a) ² + (y - b) ² = r ²。其中,o是圆心,r 是半径。
圆是一种几何图形。根据定义,通常用圆规来画圆。 同圆内圆的直径、半径长度永远相同,圆有无数条半径和无数条直径。圆是轴对称、中心对称图形。
对称轴是直径所在的直线。 同时,圆又是“正无限多边形”,而“无限”只是一个概念。当多边形的边数越多时,其形状、周长、面积就都越接近于圆。所以,世界上没有真正的圆,圆实际上只是概念性的图形。

扩展资料
半圆弧与半圆形的区别:
半圆弧:它的长度就是所在圆的周长的一半。
半圆形:它的长度是所在圆的周长的一半,再加上一条直径的长度。
圆的面积计算公式:
,
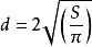
圆的面积求直径:

把圆分成若干等份,可以拼成一个近似的长方形。长方形的宽相当于圆的半径。
