设复数z=a+bi(a,b∈R),则复数z的模|z|=
,它的几何意义是复平面上一点(a,b)到原点的距离。
运算法则:
| z1·z2| = |z1|·|z2|
┃| z1|-| z2|┃≤| z1+z2|≤| z1|+| z2|
| z1-z2| = | z1z2|,是复平面的两点间距离公式,由此几何意义可以推出复平面上的直线、圆、双曲线、椭圆的方程以及抛物线。

扩展资料
运算法则
1、加法法则
复数的加法法则:设z1=a+bi,z2=c+di是任意两个复数。两者和的实部是原来两个复数实部的和,它的虚部是原来两个虚部的和。两个复数的和依然是复数。
即
2、乘法法则
复数的乘法法则:把两个复数相乘,类似两个多项式相乘,结果中i2= -1,把实部与虚部分别合并。两个复数的积仍然是一个复数。
即 
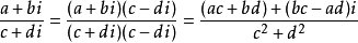
3、除法法则
复数除法定义:满足
的复数
叫复数a+bi除以复数c+di的商。
运算方法:将分子和分母同时乘以分母的共轭复数,再用乘法法则运算,
即 
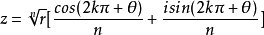
4、开方法则
若zn=r(cosθ+isinθ),则
(k=0,1,2,3…n-1)
参考资料:百度百科——复数
参考资料:百度百科——模
