a²+b²=(a+b)²-2ab
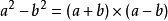
a²-b²=(a+b)(a-b)是平方差公式,平方差公式(difference of two squares)是数学公式的一种,它属于乘法公式、因式分解及恒等式,被普遍使用。
平方差指一个平方数或正方形,减去另一个平方数或正方形得来的乘法公式:a²-b²=(a+b)(a-b)。

扩展资料:
完全平方公式
两数和(或差)的平方,等于它们的平方和,加上(或减去)它们的积的2倍即完全平方公式。
与
都叫做完全平方公式.为了区别,我们把前者叫做两数和的完全平方公式,后者叫做两数差的完全平方公式。
这两个公式的结构特征是:左边是两个相同的二项式相乘,右边是三项式,是左边二中两项的平方和,加上(这两项相加时)或减去(这两项相减时)这两项乘积的2倍;公式中的字母可以表示具体的数(正数或负数),也可以表示单项式或多项式等代数式。
平方差公式:当乘式是两个数之和以及这两个数之差相乘时,积是二项式.这是因为具备这样特点的两个二项式相乘,积的四项中,会出现互为相反数的两项,合并这两项的结果为零,于是就剩下两项了.而它们的积等于乘式中这两个数的平方差,即
例:完全平方差
平方差 
参考资料:百度百科-平方差
