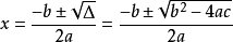
求根公式如下:

a为二次项系数,b为一次项系数,c是常数。
一元二次ax^2 +bx+c=0可用求根公式x= 求解,它是由方程系数直接把根表示出来的公式。这个公式早在公元9世纪由中亚细亚的阿尔·花拉子模给出。
用求根公式法解一元二次方程的一般步骤为:
①把方程化成一般形式
,确定
的值(注意符号);
②求出判别式
的值,判断根的情况;
③在
(注:此处△读“德尔塔”)的前提下,把
的值代入公式
进行计算,求出方程的根。
一元二次方程成立必须同时满足三个条件:
①是整式方程,即等号两边都是整式,方程中如果有分母;且未知数在分母上,那么这个方程就是分式方程,不是一元二次方程,方程中如果有根号,且未知数在根号内,那么这个方程也不是一元二次方程(是无理方程)。
②只含有一个未知数;
③未知数项的最高次数是2。
扩展资料:
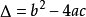
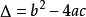
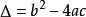
利用一元二次方程根的判别式(
)可以判断方程的根的情况 。
一元二次方程
的根与根的判别式 有如下关系:

①当
时,方程有两个不相等的实数根;
②当
时,方程有两个相等的实数根;
③当
时,方程无实数根,但有2个共轭复根。
上述结论反过来也成立。
因式分解法即利用因式分解求出方程的解的方法 。
因式分解法解一元二次方程的一般步骤如下:
①移项,使方程的右边化为零;
②将方程的左边转化为两个一元一次方程的乘积;
③令每个因式分别为零;
④括号中
,它们的解就都是原方程的解。
参考资料:百度百科---一元二次方程
